Terenimator: Save John Connor !!!
This is the story described by famous movie "The Terminator" (1984)
In 2029, a sentient AI called Skynet sends a relentless cyborg, the Terminator, back to 1984 to eliminate Sarah Connor. Her son, John Connor, is destined to lead a human resistance against the machines. As the Terminator hunts her down, Sarah is saved by Kyle Reese, a soldier sent from the future.
The film explores themes of fate, technology, and the struggle for survival, ultimately highlighting the bond that forms between Sarah and Kyle as they fight against an unstoppable enemy.
"The Time Displacement Equipment (TDE), also known as the Time Field Generator, Time Displacement Device, or Time Distortion Device, is a time machine utilized as a tactical time weapon that allows living tissue and mimetic polyalloy to be sent backward and forward in time."
----------Terminator Wiki
Kyle Reese and Sarah Connor gain access to the time displacement equipment by infiltrating a heavily fortified facility in San Francisco. They navigate through intense security and confront various threats, including the advanced T-3000 version of John Connor.
Here is the problem !!!!!!!!!!!!!!
What shall we do ?????
To go back to Los Angeles, May 12, 1984, we need to get the max power output!!!
How to setup those parameters ( x & y ) to maximize z's value?
Here is the control panel~~
Now it is your job!!! Solve it ASAP !!!!!!!!!!!!!!
Find the best x and y that give you the max value of z!!!
Assume each test run cost 1 second, how long do you need?
Maybe try some Classic Methods
Brute Force
Greedy Algorithm
Dynamic Programming
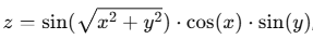
Some little help from me~~~( I hacked the formula out~~~)
Math way!!!
I have a computer with me, which you don't~~~
Great job~!!! We did it~!!!

But, can we do better????????????????????????????????
How about this function:
It looks like this!!! Thanks for HeuristicLab~~~